Heavy metal contamination caused by industrial activities such as iron and steel smelting, non-ferrous metal mining and processing, and electroplating has long posed a major environmental challenge. As global competition for critical metals continues to intensify, heavy metal pollution may become even more prominent. Because heavy metals are non-biodegradable and can persist in soils and other environmental media for long periods, understanding their long-term migration mechanisms is essential for effective remediation. China continues to face severe soil pollution, with many legacy sites contaminated by heavy metals still awaiting proper treatment. Clarifying the long-term migration behavior of heavy metals at contaminated sites is therefore a prerequisite for developing scientifically sound remediation and risk-control strategies that support low-carbon, green, and sustainable site management.
To address the limited understanding of long-term heavy metal migration at contaminated sites and the lack of green and sustainable remediation technologies—especially the insufficient recognition of erosion-induced environmental risks and corresponding control strategies—this study focused on Xiashu soil, a type of lean clay widely distributed in the middle and lower reaches of the Yangtze River, with lead contamination at a representative concentration of 5000 mg/kg. Using a self-developed rainfall erosion simulation apparatus, the researchers investigated the erosion-driven migration of lead in Xiashu soil under intense rainfall before and after treatment with reactive magnesia, a low-carbon remediation material. The study yielded the following major findings:
Under intense rainfall, the dominant migration pathway of lead in Xiashu soil is the co-migration of soil particles induced by runoff erosion, rather than the conventionally assumed mechanism of chemical leaching.
Reactive magnesia inhibits lead migration through both physical and chemical mechanisms. Physically, reactive magnesia enhances soil resistance to erosion, reducing soil loss by more than 92%. By binding with clay particles, it lowers the clay fraction in eroded sediments from 17% in the parent soil to 7%. At the same time, the lead concentration in eroded particles decreases from 4960 mg/kg to 3600 mg/kg, while the proportion of stable lead increases from 79% to 96%, substantially lowering the environmental risk associated with eroded sediments. Chemically, reactive magnesia reduces chemically leached lead by more than 71%.
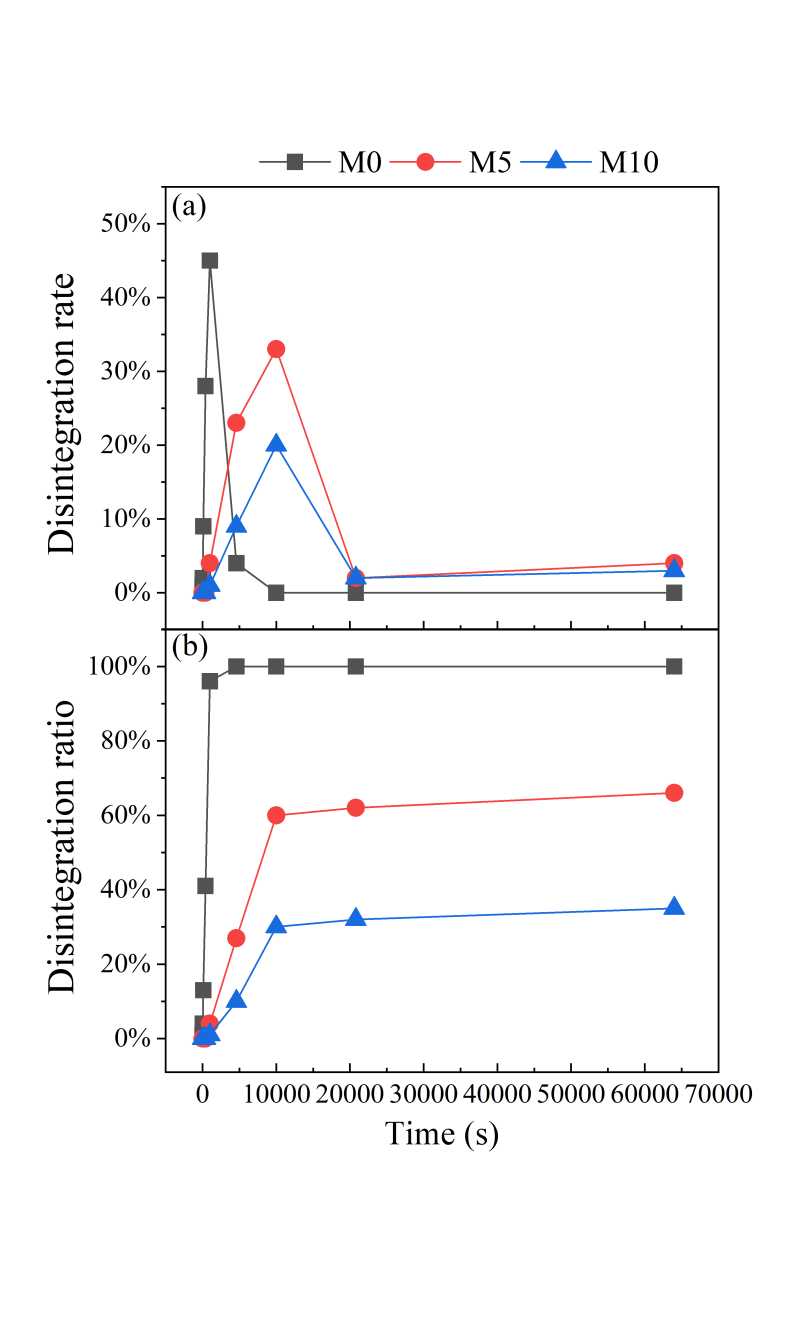
Hydraulic experiments further reveal that reactive magnesia significantly delays the onset of disintegration in lead-contaminated Xiashu soil and reduces the final disintegration ratio from 100% to 35%.
A dosage of 5% reactive magnesia is sufficient to achieve effective remediation of lead-contaminated Xiashu soil, while a 10% dosage can reduce lead migration to nearly zero. From the perspective of synergistic chemical stabilization and physical solidification, this study provides a new approach to the remediation of heavy metal-contaminated soils.
The findings were recently published in Géotechnique under the title “Effect of reactive magnesia on erosion control of a lead contaminated lean clay: insights from runoff, infiltration and disintegration characteristics”. Associate Professor Zhengtao Shen from the School is the first and corresponding author. The co-authors are Professor Bin Shi, Professor Chaosheng Tang, Assistant Professor Huan Liu, Master’s student Yue Xu, doctoral student Yuanyuan Geng, Dr Fei Jin from Cardiff University, and Dr Benyi Cao from the University of Surrey.
This research was supported by the This research was supported by the the National Key Research and Development Program of China (2023YFC3707900), the Fundamental Research Funds for the Central Universities (2024300399), National Natural Science Foundation of China (42277123, 42477187), Natural Science Foundation of Jiangsu Province (BK20220787).
Full paper: https://doi.org/10.1680/jgeot.25.00010

Fig.1. Pb content leached and transported in runoff and seepage.
.
Fig. 2. Mass of Pb-contaminated soil eroded by runoff.

Fig. 3. Particle size distribution of Pb-contaminated soil eroded by runoff.
Fig. 4. Pb content and speciation distribution of the contaminated soil eroded by runoff.

Fig. 5. Disintegration rate and disintegration ratio of Pb-contaminated soil before and after treatment with reactive magnesia.
