地下矿物沉淀过程往往表现出惊人的空间差异:即便在相似的地层成分和结构条件下,相邻裂隙或孔隙中的矿物沉淀量也可能相差数个数量级。这种高度非均一性广泛存在于热液矿化、成岩作用以及地下碳矿化等过程之中,但其形成机制长期缺乏清晰解释。
为揭示这一机制,本研究结合微流控裂隙实验、原位Raman光谱观测和分解过程模拟框架,研究了碳酸钙沉淀和裂隙结构演化的关系。研究人员首先构建了模拟天然裂隙结构的微流控芯片,在不同流速条件下通过D2O-H2O示踪实验追踪裂隙中流体混合带的空间分布,并实时观测CaCO3的沉淀过程(图1)。同时利用原位Raman光谱识别不同碳酸钙多晶型(如方解石、球文石、霰石及无定形碳酸钙)的形成与转化。在此基础上,研究团队进一步结合孔隙尺度溶质运移模型和连续介质尺度随机成核模拟,系统分析流动控制的流体混合、过饱和形成与随机成核之间的耦合关系,从而揭示矿物沉淀空间分布及裂隙结构演化的形成机制。

图1. 微流控模型装置及Raman光谱用于CaCO3沉淀识别与D2O分布特征
文章指出,流动控制的混合过程是决定裂隙中CaCO3沉淀模式的关键因素之一。流速差异并不直接对应沉淀量多少,而是对应于两类不同的混合-沉淀演化机制。
在微观层面,一般情况下,反应物累积过饱和并首先超过方解石的过饱和度,随后向其他多晶型碳酸钙沉淀转化(图2d,domain B)。非稳态碳酸钙(无定形碳酸钙、球文石、霰石)颗粒较小,堆积孔隙较大,能够维持溶液传质,从而延缓通道堵塞。在高流速的特定区域,例如反应物从较细裂隙输送至粗裂隙或高速优先流道时,沿流线形成局部受限的高过饱和区(图4a2和b2)。这些局部过饱和区有利于无定形碳酸钙的快速形成,并延缓其向稳定方解石的转化;当ACC堵塞部分通道、削弱局部混合后,高过饱和微环境逐步被破坏,ACC最终转化为方解石(图2d,domain A)。

图2. (a-c) 不同流速条件下CaCO3沉淀情况(黄色线标示中心线);(d) 不同流速条件下,A和B区域的CaCO3矿物随时间变化的图像。
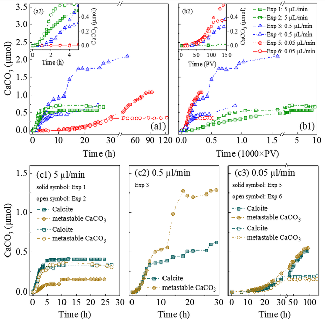
在宏观层面,高流速条件下形成的过饱和混合带较窄且相对稳定,这些区域的沉淀模式在实验中具有较好的可重复性(图3,实验1和2)。相比之下,低流速条件下,反应物横向扩散更充分,过饱和区范围更大,成核能够在更广空间范围内发生(图3,实验3-6)。在这种情况下,成核位置对局部微扰和诱导时间差异更加敏感,因此表现出更强的空间随机性(图5b2和c2)。由此导致的裂隙演化路径也更为分散:部分实验中沉淀位置离散、堵塞缓慢(图3,实验3和5),而在另一些实验中,沉淀可能局部集中并较快引发堵塞(图3,实验4和6)。因此,流速变化引发的本质差异,不仅体现在反应动力学速率上,更体现在其对混合带结构及局部热力学环境的调控作用上。

图3. 不同流速条件下碳酸钙沉淀的时间演化
为验证流动、混合与随机成核对裂隙中CaCO3沉淀的控制作用,本研究提出了一种分解过程模拟框架。完全耦合的孔隙尺度模拟需同时解析流场、化学混合、随机成核、矿物生长及裂隙几何反馈,参数众多且难以约束,计算量巨大,难以系统分析各个控制过程。为此,本策略将系统拆解为两个互补模拟:(1)孔隙尺度流场与溶质运移模拟:解析裂隙中的流体动力分布,并在沉淀初始阶段评估流动控制的混合对溶质分布及局部过饱和的影响(图4);(2)连续介质尺度随机成核模拟:孤立分析随机成核过程对矿物沉淀空间分布的影响,同时屏蔽沉淀堵塞对裂隙几何的反馈(图5)。通过这一框架,研究能够在受控条件下独立评估流动—混合—随机成核的作用,清晰揭示传质驱动的非均质性如何调控CaCO3沉淀模式,验证了实验观察结果,并为后续建立全耦合模型提供了坚实的机制基础。

图4. 不同流速条件下CaCO3沉淀前初始阶段的模拟离子活度积(IAP)分布

图5. 不同流速下成核的空间分布及x轴方向的成核累计
总体而言,本研究揭示了裂隙中CaCO3沉淀及裂隙结构随机演化的关键机制,阐明了流动、化学混合、过饱和分布与随机成核如何共同决定矿物沉淀模式及裂隙几何的演变。这些发现不仅适用于CO2矿化封存,也为热液系统、地热储层以及含矿裂隙水系统的矿物沉淀与孔隙演化研究提供了重要参考。通过明确流动条件和随机成核对沉淀模式的控制关系,本研究为相关领域的数值模拟、实验设计和工程应用提供了可引用的机制框架,对理解和优化地下矿物封存、裂隙封闭及反应传输具有广泛意义。
本研究于2026年3月2日在线发表于Geochimica et Cosmochimica Acta。永利304官网唯一博士生马腾飞为论文第一作者,永利304官网唯一刘媛媛教授为通讯作者,永利304官网唯一季峻峰教授、赵良教授为共同作者。
研究受到国家自然科学基金面上项目(42273054,42373055),江苏省2022年江苏地区二十万吨级CCUS重大科技示范科研项目(BE2022603)和2025年碳达峰与碳中和科技专项基金(BT2025016),以及江苏省“双创计划”的共同资助,并得到北京师范大学、中国石油化工股份有限公司华东油气分公司和北京大学等单位的支持。
全文链接为:https://doi.org/10.1016/j.gca.2026.03.001
图文:马腾飞
审核:陈天宇

