氧化还原敏感金属元素铼(Re)和铀(U)是重要的资源金属,也是反演地质历史上海洋氧化还原条件的重要指标。因此,准确理解现代海洋中Re和U源汇通量和格局具有重要的科学价值。然而,现代海洋中溶解Re和U是否处于源汇平衡仍然是海洋化学的谜题之一。陆架(水深<200米)沉积物是有机碳埋藏的主要区域,也是有机碳矿化的热点区域。丰富的有机物输入导致陆架沉积物孔隙水中的氧气被快速消耗,形成无氧条件,并导致孔隙水中溶解的Re和U作为电子受体被还原移除至沉积物中,构成海洋Re和U的还原性汇。但是,以往的源汇研究对陆架的贡献并无可靠的定量评估。
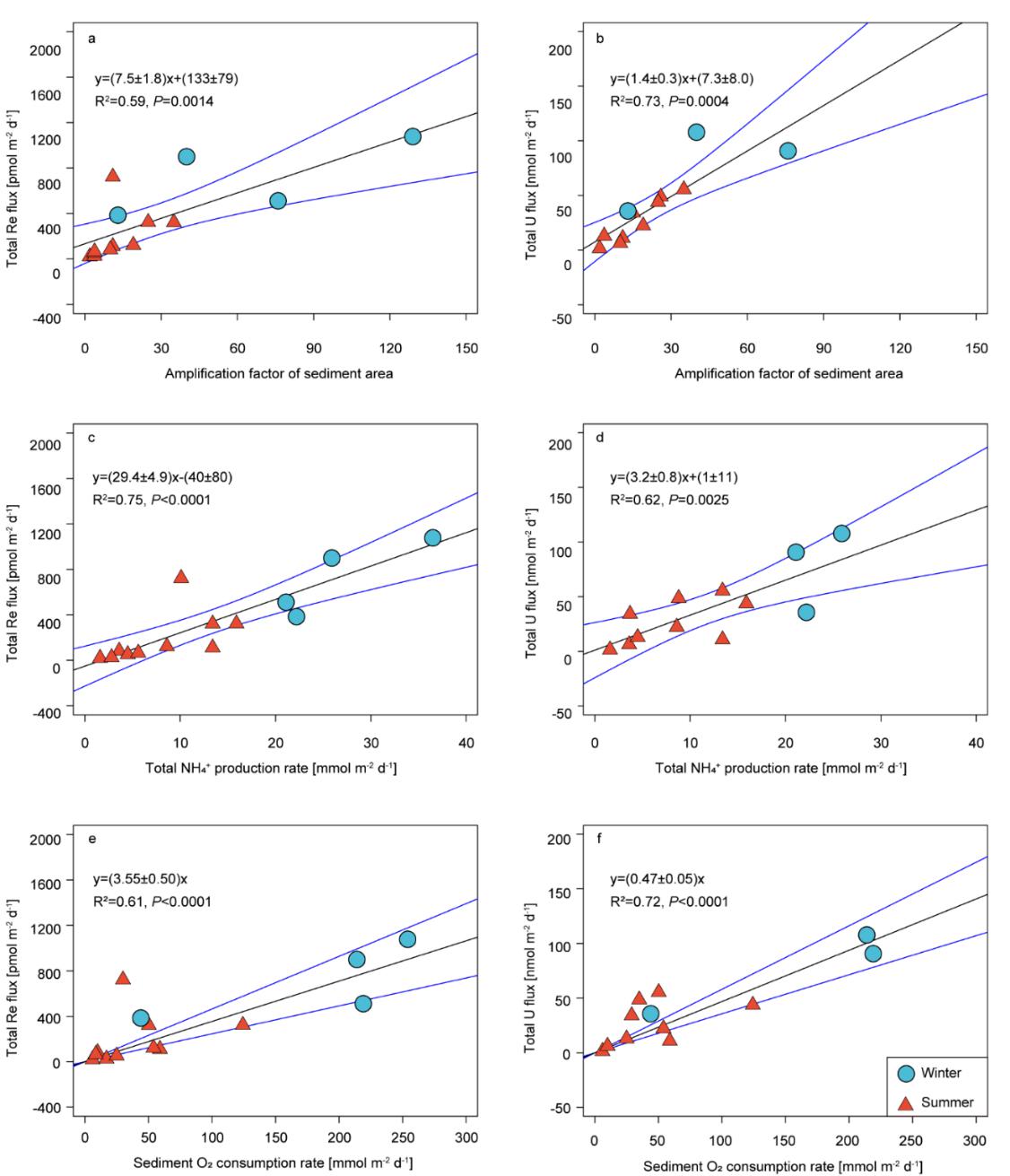
本研究结合沉积物孔隙水Re和U浓度测量与放射性同位素224Ra/228Th不平衡,定量研究了长江口及其毗邻的东海陆架沉积物移除Re和U的通量及其主控因素。数据表明沉积物-水界面的动力条件(浸灌作用)是控制陆架沉积物移除海水Re和U通量大小的一级因素,而陆架沉积物移除Re和U的通量与有机物的厌氧分解速率和沉积物耗氧速率存在显著的正相关关系。基于全球海洋沉积物耗氧速率的数据,本研究进一步估算了全球陆架沉积物移除Re和U的总通量及其对全球海洋Re和U源汇格局的影响,发现陆架沉积物是全球海洋Re和U主要的汇,其总通量与陆架外次氧/无氧沉积物的移除总通量相当(Re)或高~4倍(U)。因此,现代海洋溶解态Re和U可能并未处于源汇平衡状态,或是现有研究大大低估了Re和U输入的通量。该结果也为现代海洋δ238U的源汇平衡提供了一种新解释。
文章进一步探讨了造成现代海洋Re和U源汇不平衡的可能原因:1)未考虑河流输入的颗粒物载带的Re和U在河口发生解吸/溶解;2)近海蓝碳生态系统的截留/添加作用未很好地评估;3)陆架沉积物还原性移除的汇在冰期-间冰期的变化可能影响其源汇格局,冰期陆架面积减小、有机碳输入降低、上层海洋氧化程度变强,将导致冰期陆架沉积物Re和U的还原性汇变小。因此,本研究结果对Re和U的生物地球化学研究及其在古海洋的应用具有重要的意义。
上述研究成果近期发表于《Nature Communications》,永利304官网唯一陈天宇教授为论文通讯作者,课题组博士后洪清泉为论文第一作者。合作作者包括厦门大学蔡平河教授、中国科学院地球化学研究所高剑峰研究员等。该研究得到了国家自然科学基金西太平洋重大研究计划项目、教育部地球关键物质循环前沿科学中心项目等的大力支持。

图1.陆架沉积物Re和U通量与沉积物浸灌作用系数(a, b)、有机碳厌氧分解速率(c、d)和沉积物耗氧速率(e , f)的相关性

图2. 现代海洋溶解态Re和U的源汇通量比较
文章信息:Hong Q., Cheng Y., Qu Y., Wei L., Liu Y., Gao J., Cai P., Chen T.*, 2024. Overlooked shelf sediment reductive sinks of dissolved rhenium and uranium in the modern ocean. Nature Communications 15, 3966.
原文链接:https://www.nature.com/articles/s41467-024-48297-y.

